院训:以人为本 崇文致远 目标:创一流学院 拥人文情怀
首页
学院概况
学院简介
现任领导
组织架构
系所中心
机构设置
教学指导委员会
学位评定委员会
教授委员会
师资队伍
各系简介
教研室简介
教师名单
导师名单
人文师说
人才培养
本科生培养
研究生培养
在职硕士
学术研究
学术预告
学术动态
研究机构
党建思政
党建工作
主题教育
支部活动
学生工作
学工队伍
团学动态
招生就业
校友风采
校友录
记忆与永恒
人才招聘
下载中心
English
您当前的位置:
首页
»
新闻动态-通知公告
» 通知公告
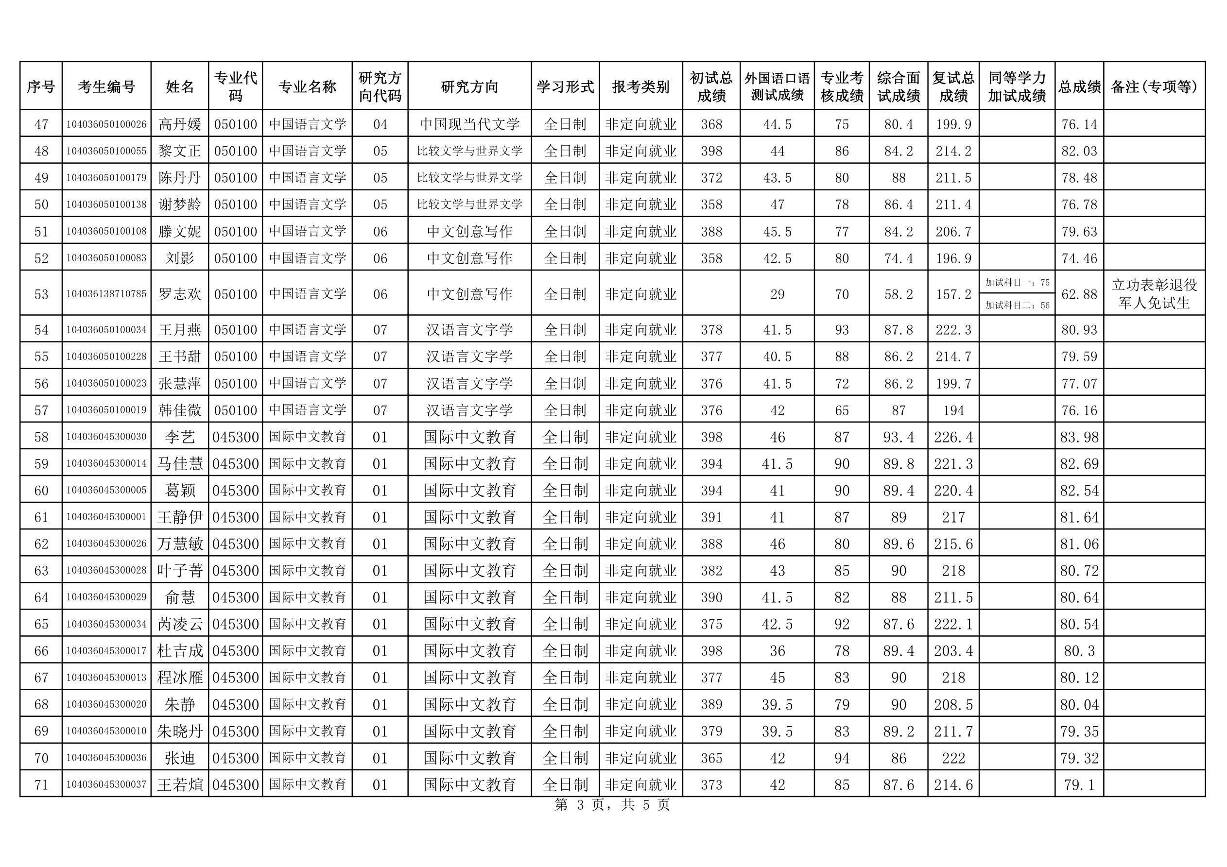
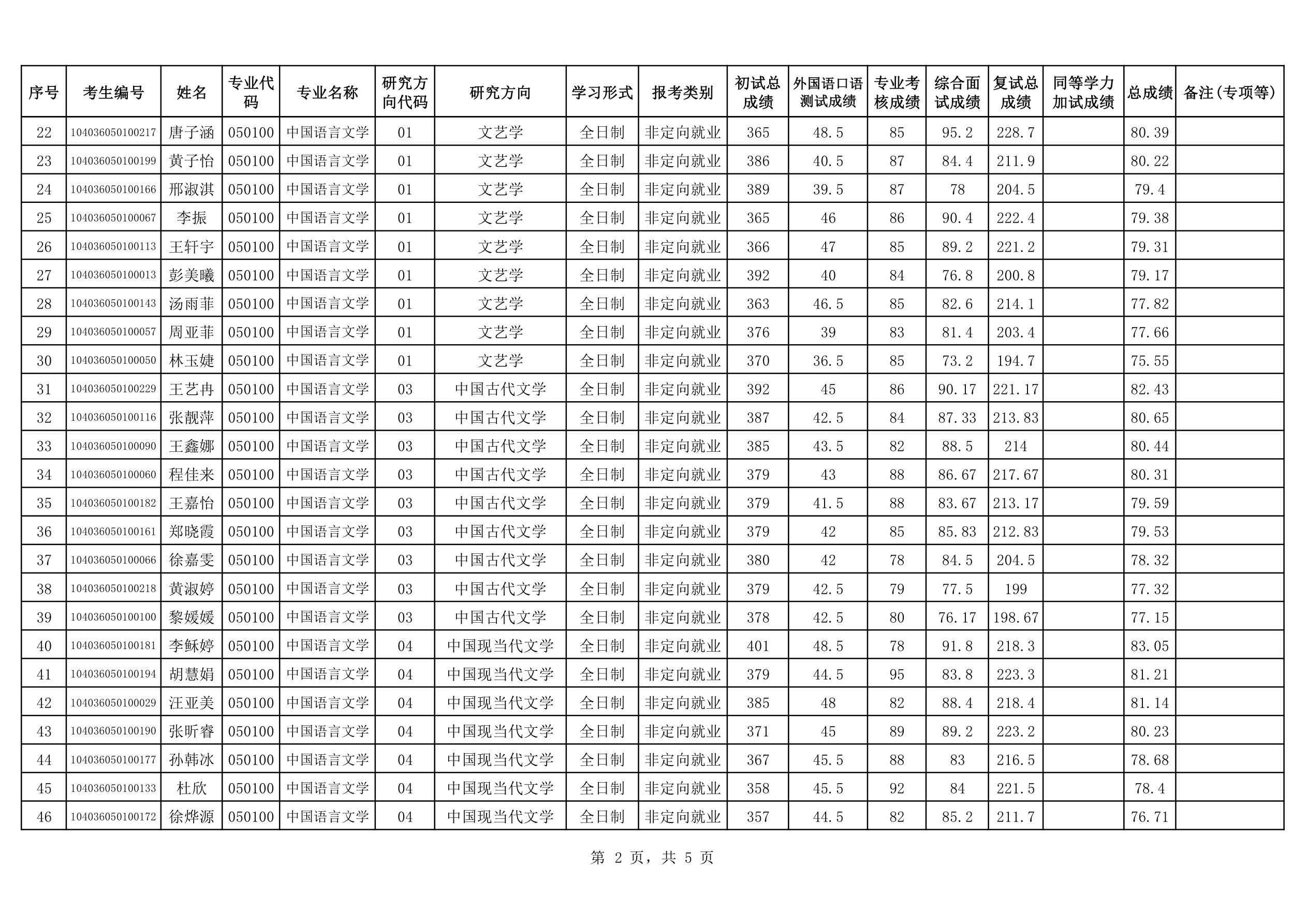
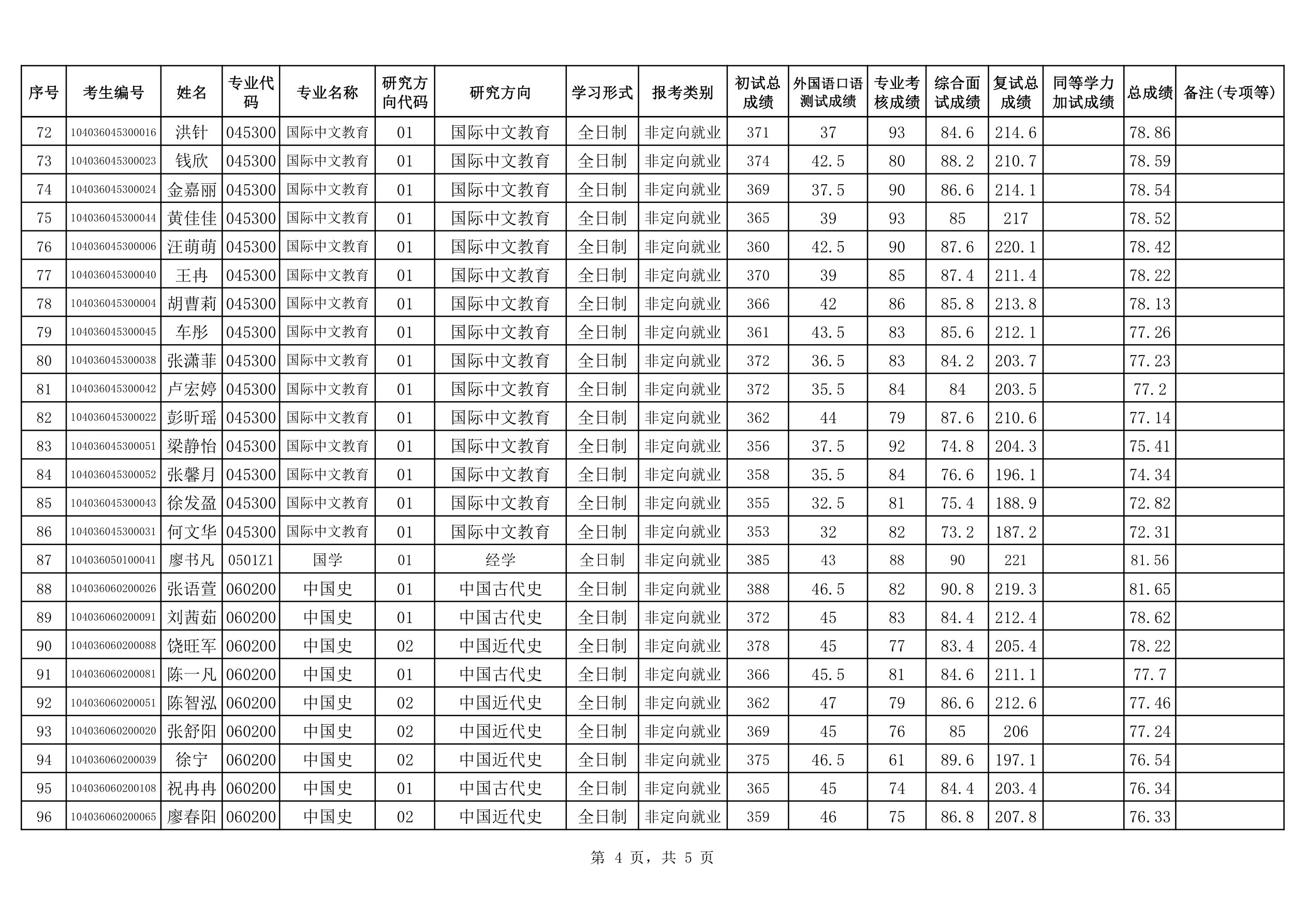
南昌大学人文学院2026年硕士研究生一志愿复试成绩公示
发布人:admin 发布时间:2026-04-03
南昌大学人文学院 版权所有
管理
地址:江西省南昌市红谷滩区学府大道999号人文楼二楼 邮编:330031
电话:0791-83969350 传真:0791-83969350
E-mail:
rwxy@ncu.edu.cn